SQL 관계 대수식 작성 연습

2023. 7. 11. 17:55DATA PROGRAMMING/SQL

 

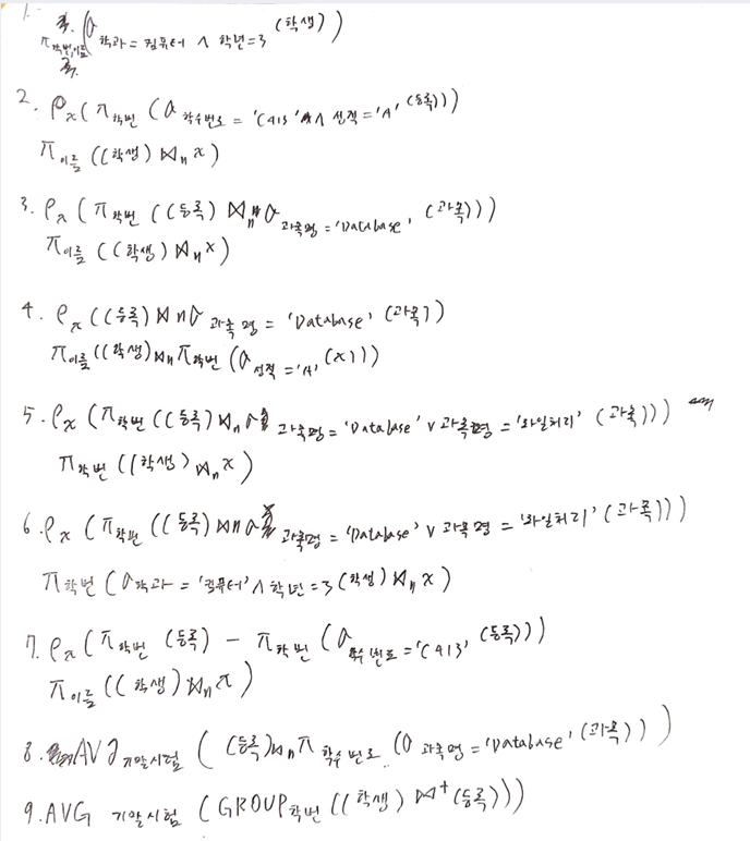
  1. 학과가 ‘컴퓨터’이고, 학년이 3학년인 학생의 학번과 이름을 검색하세요.
  2. 학수번호가 ‘C413’인 과목을 등록하여, 성적 ‘A’를 받은 학생의 이름을 검색하세요.
  3. ‘Database’ 과목을 등록한 학생의 이름을 검색하세요.
  4. ‘Database’ 과목을 등록하여, 성적 ‘A’를 받은 학생의 이름을 검색하세요.
  5. ‘Database’와 ‘화일처리’ 과목을 같이 수강한 학생의 학번을 검색하세요.
  6. ‘컴퓨터’ 학과의 3학년 학생들 중에 ‘Database’와 ‘화일처리’을 같이 수강한 학생의 학번을 검색하세요.
  7. 학수번호가 ‘C413’인 과목을 등록하지 않은 학생의 이름을 검색하세요.
  8. ‘Database’ 과목의 기말시험 평균은?
  9. 각 학생의 학번과 기말시험 평균을 구하세요. 단 휴학생(수강 등록을 하지 않은 학생)도 포함하세요.