SQL 관계 대수식 작성 연습
2023. 7. 11. 17:55ㆍDATA PROGRAMMING/SQL



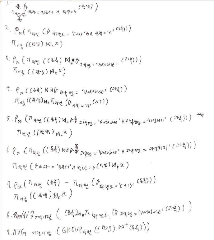
- 학과가 ‘컴퓨터’이고, 학년이 3학년인 학생의 학번과 이름을 검색하세요.
- 학수번호가 ‘C413’인 과목을 등록하여, 성적 ‘A’를 받은 학생의 이름을 검색하세요.
- ‘Database’ 과목을 등록한 학생의 이름을 검색하세요.
- ‘Database’ 과목을 등록하여, 성적 ‘A’를 받은 학생의 이름을 검색하세요.
- ‘Database’와 ‘화일처리’ 과목을 같이 수강한 학생의 학번을 검색하세요.
- ‘컴퓨터’ 학과의 3학년 학생들 중에 ‘Database’와 ‘화일처리’을 같이 수강한 학생의 학번을 검색하세요.
- 학수번호가 ‘C413’인 과목을 등록하지 않은 학생의 이름을 검색하세요.
- ‘Database’ 과목의 기말시험 평균은?
- 각 학생의 학번과 기말시험 평균을 구하세요. 단 휴학생(수강 등록을 하지 않은 학생)도 포함하세요.

'DATA PROGRAMMING > SQL' 카테고리의 다른 글
| SQL - SQL로 PIVOT 테이블 만들기 (0) | 2023.08.14 |
|---|---|
| SQL - CTE를 이용해 Date Series 만들기 (0) | 2023.08.12 |
| 재귀 조인의 사용 (0) | 2023.08.12 |
| [SQL] TIL 2- SQL 기본적인 함수들 익히기 (0) | 2023.03.09 |
| [SQL] TIL 1 - SQL 기본 다루기 (0) | 2023.01.30 |